欢迎进入上海璐蒙科学仪器有限公司网站!
新闻资讯

服务热线18101957020

北京“轻食”当道,赛默飞气质联用技术保卫有机食品安全

作者:佚名 发布时间:2024-11-18 09:04:40点击:2542

气质联用仪的离子源温度高_气质联用仪离子源_气质联用电离源

史晓磊

气质联用电离源_气质联用仪的离子源温度高_气质联用仪离子源

随着夏天的到来,轻食主义又一次掀起热潮,为了享“瘦”,越来越多的人把烧烤,火锅换成了蔬菜沙拉,全麦面包等简易,热量低的轻食,虽然这些有机蔬菜和粗粮从营养学角度来说是健康的,然而,有机食品是全面禁止使用农药的,然而在种植过程中是否真的未使用农药一直是个谜题。农药残留量的测试就变得尤为重要,是我们放心食用有机食品的保障。

三重四极杆质谱一直被认为是农残定量限最低的仪器,两根四极杆的串联使用,保证了最大限度的去除基质干扰,而高分辨质谱更多地被认为是用于定性分析,其定量能力如何,始终是个谜题。赛默飞世尔科技作为全球最大的仪器生产商,相继推出了Thermo Scientific™ TSQ™ 9610三重四极杆气质联用仪和Thermo Scientific™Orbitrap™ Exploris™ GC静电场轨道阱高分辨气质联用仪。下面一起来看下GC-MS/MS全面解决方案和GC-Orbitrap/MS在农残定量能力到底如何。

气质联用仪的离子源温度高_气质联用仪离子源_气质联用电离源

赛默飞TSQ9610三重四极杆

气质联用仪

气质联用电离源_气质联用仪的离子源温度高_气质联用仪离子源

赛默飞Orbitrap Exploris GC

高分辨气质联用仪

气质联用仪的离子源温度高_气质联用电离源_气质联用仪离子源

农残检测GC-MS/MS篇

TSQ9610三重四极杆气质联用仪,内置S型离子传输通道,全新XLXR检测器,并可搭载AEI高灵敏度离子源,Never Vent真空锁技术,是食品中农药残留分析的首选。搭配为GB 23200.113-2018专门订制的方法包,可在 36min内一针完成分析208种农药及代谢物的分析,流程简单、快速、准确、有效,仪器操作简便,方法性能具有卓越的灵敏度和出色的稳定性的特点,完全满足国标对于农残定量检测的要求,不必再为检出限达不到国标要求而烦恼。

气质联用仪离子源_气质联用仪的离子源温度高_气质联用电离源

专利的AEI源具有独特的电离方式,大幅提升电离效率,离子束更为聚焦且传输效率更高,数倍提升灵敏度的同时有效降低系统污染的可能性,IDL最小可达0.3 fg。搭配NeverVent技术,实现不卸真空更换灯丝,不卸真空更换离子源,不卸真空更换色谱柱,在大批量农残分析时,可以实现不停机分析,全面解决农残分析时频繁停机维护质谱的烦恼。

气质联用仪的离子源温度高_气质联用电离源_气质联用仪离子源

图1. 不同基质中不同样品中化合物检出限分布(a-d)

(点击查看大图)

实验室样品太多,

流转周期内做不完,怎么办

气质联用电离源_气质联用仪离子源_气质联用仪的离子源温度高

想要提升分析效率,实现日进百样的分析量,TSQ9610还可搭载LPGC技术,利用质谱的真空加速分析,实现相同程度的分离,10分钟内即可完成208种农药及其代谢物的分析。LPGC是利用质谱的真空度,降低分析柱内的压力来加速分析的技术。其精髓在于整个分析柱都处于亚真空状态。由此,在分析柱中,载气粘度降低,范方程中的最佳线速度右移,可以使用更高的流速,实现类似氢气为载气的分离效果,且较之更为安全、经济;另外化合物蒸气压降低,可以在相同温度下分析更多化合物或更低温度下分析相同化合物。

样品通量增加5倍,日平均分析高达120个样品。

柱样品承载量提高近10倍,提升系统稳定性。

减少样品因等待时间而发生的降解或未知反应。

一体化设计,自带保护柱及集成传输线柱。

分析效率与分离效果高,比氢气载气更经济安全。

对热不稳定化合物更友好。

实验室电力&用气成本节省80%左右。

气质联用仪的离子源温度高_气质联用电离源_气质联用仪离子源

图2. LPGC分析208种农药及其代谢物的TIC图

(点击查看大图)

气质联用电离源_气质联用仪的离子源温度高_气质联用仪离子源

图3.进样800针基质样品后(不洗源,不调谐),基质加标0.7-2ppb部分农残的RSD结果(点击查看大图)

农残检测GC-Orbitrap/MS篇

除了法规监测的农药外,新型农药的过量使用屡见不鲜,如何准确、全面的监控食品中的农药残留污染呢?Orbitrap Exploris GC的出现,实现了想要保证定量限足够低的同时,仍想监测更多种类的农药的需求。三重四极杆质谱联用进行农残分析时,受制于采集模式SRM的局限,只能检测目标列表内的农药,而Orbitrap Exploris GC可以使用Full Scan全扫描分析,即可达到GC-MS/MS的灵敏度,又不受采集方法的限制,实现农药残留的全面筛查。

法国诺曼底大学的Saida Belarbi教授和法国SGS实验室在《Food Chemistry》上发表一篇关于比较GC-HRMS和GC-MS/MS在复杂食品基质中定量能力的文章《Comparison of new approach of GC-HRMS (Q-Orbitrap) to GC–MS/MS (triple-quadrupole) in analyzing the pesticide residues and contaminants in complex food matrices》,该研究共选取了100种有代表性的农药,采用QuEChERS前处理,气相色谱参数保持一致,GC-Orbitrap/MS采用全扫描分析,而GC-MS/MS采用SRM(Selected Reaction Monitor,选择反应扫描)分析,从检出限,线性关系,回收率,定量限,基质效应,实际样品等方面进行了比较。

气质联用仪离子源_气质联用仪的离子源温度高_气质联用电离源

图4.两种分析方法100种农药和污染物的检出限LOD比较(点击查看大图)

气质联用电离源_气质联用仪离子源_气质联用仪的离子源温度高

图5. 两种分析方法100种农药和污染物的定量限LOQ比较(点击查看大图)

气质联用仪的离子源温度高_气质联用仪离子源_气质联用电离源

气质联用仪的离子源温度高_气质联用仪离子源_气质联用电离源

表1.小麦基质中添加10μg/kg农药和污染物的GC-MS/MS和GC-Orbitrap/MS定量结果比较

(点击查看大图)

气质联用仪离子源_气质联用电离源_气质联用仪的离子源温度高

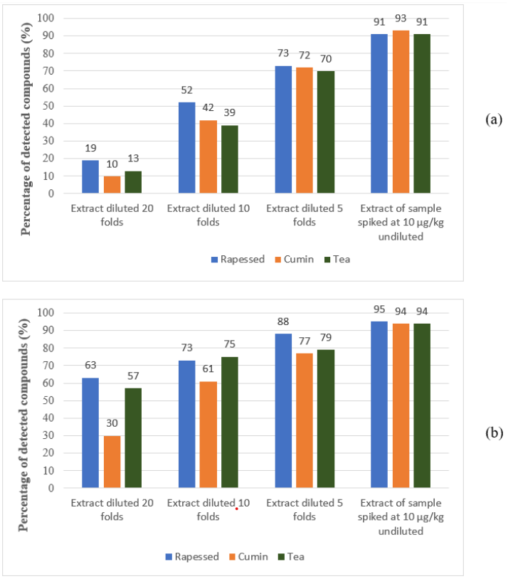
图6. GC-MS/MS(a)和GC-Orbitrap/MS (b)比较不同稀释倍数(5倍、10倍和20倍)的化合物在10µg/kg的基质中的检测百分比:菜籽(蓝色)、孜然(橙色)和红茶(绿色)(点击查看大图)

向下滑动查看所有内容

通过研究发现,GC-Orbitrap/MS全扫描方法开发比GC-MS/MS的SRM方法开发更简单、高效。GC-Orbitrap/MS的检出限,定量限,基质效应等方面显著均优于GC-MS/MS,回收率,线性关系方面,两者相当。然而,全扫描的方法除了100种农药和污染物以外,还可检测到其他的潜在风险化合物,这是SRM无法实现的。充分证明了GC-Orbitrap/MS方法用于食品基质中农药和污染物的高通量定量和筛选的能力。

气质联用电离源_气质联用仪离子源_气质联用仪的离子源温度高

在农药滥用,环境污染日渐严重的当下,如何保证入口食品的绝对安全,是国内外共同面对的难题,哪怕购买了价格略贵的有机食品,其农药残留情况也是个未知数。赛默飞提供全面的农药残留解决方案,完全符合国标的方法要求,是实验室农残检测的必备方案。而当样品数目激增时,LPGC快速方案可大幅提升分析效率,提高实验室生产力。此外,Orbitrap Exploris GC高分辨气质联用仪兼具定性和定量能力,一针进样既可精准定量重点关注的农药和污染物,还可同时监测其他风险化合物,开启了农药残留分析的全新时代。

相关链接